This is a reconstruction of paper from Oscar 2004. He
used @Risk software to carry out the risk assessment. I am reconstructing his paper
using R- software taking the same model input values. So for
details, please refer to the paper of Oscar 2004. The following are the important model parameters described in that paper.





Model design
The
following 5 nodes were considered during model development.
Node 1- Retail
"The
incidence of Salmonella contamination of whole chickens ranged from 0% to 100%
with a median value of 30%. The MPN of Salmonella on contaminated whole
chickens is low, often below 10 MPN, whereas the maximum MPN per chicken ranges
from >300 to >1100. A minimum value of 1 MPN (by definition, the minimum
level of contamination that is possible), a median value of 10 MPN, and a
maximum value of 450 MPN per chicken were used to define the input settings for
the PERT distribution for the extent of Salmonella contamination of
ready-to-cook whole chickens at retail."
Node 2- Consumer Transport
Node 2- Consumer Transport
"Time
and temperature data of fresh meat showed that the time of consumer transport
ranged from 0.2 to 6.3 h with a median time of 1 h. The temperature of fresh
meat when it arrived in the consumer’s home ranged from minus 3.9 to 21.1 oC
with a median temperature of 7.8 oC. These values were used to
define the input settings for the PERT distributions for time and temperature
in the growth model, which was then simulated. A predicted incidence of
potential growth events during consumer transport of 0.02% was obtained and was
used to define the incidence of growth events for this node.
The growth model showed
that the extent of potential growth events would range from 0.0005 to 0.15 log cycles
with a median value of 0.04 log cycles. These values were used to define the
input settings for the PERT distribution for the extent of potential Salmonella
growth during consumer transport."
Node 3- Cooking
"A PERT
distribution was used to model the variability and uncertainty of final cooked
temperature, which was reported to range from 26 to 93 oC with a
mean of 62 oC. However, PERT settings of 55, 62 and 70 oC
were used because the thermal inactivation model only had a temperature range
of 55 to 70 oC. It was assumed that chickens were cooked in a home oven and that Salmonella were exposed to the final cooked
temperature for a minimum of 15 min, a median of 30 min, and a maximum of 45
min.
Results of the
cooking model simulation indicated that the log cycle reduction of Salmonella ranged
from minus 96 to minus 0.83 with a median value of minus 8.1; these values were
used to define the PERT distribution for cooking."
Node 4- Serving
"The
incidence of food handling mistakes that could lead to cross-contamination averaged
28% among three consumer surveys and was the value used to define the incidence
of cross-contamination events for this node. The average values among studies
of 0.021, 0.057 and 0.24 for the minimum, median and maximum transfer rates,
respectively, of Salmonella were used to define the PERT distribution for cross-contamination during serving."
Node 5- Consumption
"Based
on these data, the input settings for the PERT distribution for illness dose were
a minimum of 1 log MPN, a median of 3 log MPN and a maximum of 7 log MPN. Dose
response was modeled as a discrete event. For an illness to occur from
consumption of a cooked chicken, the dose of Salmonella consumed had to exceed
the illness dose that was randomly assigned to that chicken or iteration by the
model. Thus, the outcome of the dose response was discrete: no illness or
illness."
Model simulation
The model was simulated with R-software using mc2d
package with 100001 numbers of iteration. The code has not been provided in
this page, to keep it simple.
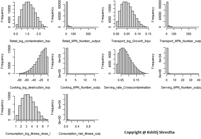
Model Output:
The
output from the model in R-software is given below.
> summary(Risk)
Retail_log_contamination_Input1
:
mean
sd Min 2.5%
25% 50% 75% 97.5%
Max nsv Na's
NoUnc 1.12 0.503 0.00632 0.251
0.732 1.09 1.48 2.13 2.64 1e+05 0
Retail_MPN_Number_output1 :
mean
sd Min 2.5% 25% 50% 75% 97.5% Max
nsv Na's
NoUnc 7.75 23.1 0
0 0 0 4 73 412 1e+05 0
Transport_log_Growth_Input2 :
mean
sd Min 2.5%
25% 50% 75% 97.5%
Max nsv Na's
NoUnc 0.0518 0.0269 0.00067
0.00897 0.031 0.0491 0.07 0.109 0.145 1e+05
0
Transport_MPN_Number_output2 :
mean
sd Min 2.5% 25% 50% 75% 97.5% Max
nsv Na's
NoUnc 7.75 23.1 0
0 0 0 4 73 412 1e+05 0
Cooking_log_destruction_Input3
:
mean sd Min
2.5% 25% 50%
75% 97.5% Max nsv Na's
NoUnc -21.6 14.9 -90.6 -56.9
-30.4 -18.5 -9.74 -2.14 -0.831 1e+05 0
Cooking_MPN_Number_output3 :
mean
sd Min 2.5% 25% 50% 75% 97.5% Max
nsv Na's
NoUnc 0.00735 0.211 0
0 0 0
0 0 22 1e+05
0
Serving_rate_Crosscontamination_Input4
:
mean
sd Min 2.5%
25% 50% 75% 97.5%
Max nsv Na's
NoUnc 0.0817 0.0371 0.0211
0.0277 0.0522 0.076 0.106 0.165 0.225 1e+05
0
Serving_MPN_Number_output4 :
mean
sd Min 2.5% 25% 50% 75% 97.5% Max
nsv Na's
NoUnc 0.178 1.18 0
0 0 0 0 2
58 1e+05 0
Consumption_log_illness_dose_Input5
:
mean
sd Min 2.5% 25%
50% 75% 97.5% Max
nsv Na's
NoUnc 3.33 1.11 1.02 1.48 2.48
3.25 4.12 5.6 6.88 1e+05 0
Consumption_risk_illness_output5
:
mean sd Min 2.5% 25% 50% 75% 97.5%
Max nsv Na's
NoUnc 0.000724 0.0122 0
0 0 0 0
0.0018 1.31 1e+05 0
Graphical Output:
The graphical output is shown below.






Results:
I am not going to discuss all the
results and the graph. You can refer to the original paper of Oscar 2004 for
details. If you have questions, please put them in comment.
The assumptions about the model input
made on this simulation were based on the good manufacturing practices. If that
GMP is respected, we should expect to have low risk from salmonella.
Based on this
simulation, the risk of illness was found to be around 2 cases per 100000 chickens. This can
be considered relatively a low risk. Hence, we can conclude that if all the GMP
conditions are respected within the variability described in the model, the
risk of salmonella from chicken consumed after proper cooking and serving is
relatively low.
Please provide your comments and
feedback.
No comments:
Post a Comment